XDU 研究生课程 复杂网络 Complex Network 期末复习
前言
推荐选这课,老师(蒋老师)说平时不用去(也没有任何签到)。
课程大作业是随便选一个关于网络科学的论文讲一下,实测很水。
虽然这课在课表上占了3大节课,但是其实每次最少讲15分钟,最多讲1小时就下课了。
而且下面我写的都是划的重点,非常清晰,背会就行。
期末是闭卷考试!
主播也是复习了3天很容易拿下了94.8分。

第一节课
不考
第二节课
网络是真实世界中的,图是网络的数学表达。
求图最短路径(BFS/Dijkstra)
使用BFS
由于该图为无权图,采用 BFS 算法求最短路径。
从起点 s 出发,将 s 入队并将其距离设为 0。
每次从队列中取出一个节点 u,访问其所有未被访问的邻接节点 v,
将 v 的距离设为 dist[v] = dist[u] + 1,并记录其前驱为 u。
因为 BFS 按层遍历,节点第一次被访问时即得到了最短路径。
当终点 t 被访问时,其距离 dist[t] 即为最短路径长度,
通过前驱数组可还原最短路径。
图中的其他概念
直径(Diameter):The longest shortest path in a graph.
平均路径长度(Average Path Length):The average of the shortest paths for all pairs of nodes.

环(Cycle):A path with the same start and end node.
自避路径(Self-avoiding Path):A path that does not intersect itself.

欧拉路径(Eulerian Path): 在图中不重复经过边的一条路径。

哈密顿路径(Hamiltonian Path):A path that visits each node exactly once.

无向图的连通性
连通图 / 非连通图; 连通分量;桥
👉 连通图:
在无向图中,任意两个顶点之间都存在一条路径。
👉 非连通图:
由 两个或以上连通分量 组成。
👉 桥(割边)定义:
删掉这条边后,图会变成非连通图
📌 连通分量 =
一个“内部连通、与外部不连通”的最大子图
孤立部分:不属于最大连通分量的其余连通分量
总结:一个无向图如果任意两点之间都有路径,则是连通的;
删除一条桥会使图变为非连通图,从而分裂成多个连通分量,其中最大的称为 Giant Component,其余为 Isolates。
聚类系数
重点:给你一个节点,你要会算这个节点的聚类系数。
聚类系数呈现的是某个节点的邻居相连的程度,记作Ci,i就是当前节点
ki 是节点i的邻居个数(也就是节点i的度数)。
Ci = 邻居的度/邻居理论上最大的度
邻居理论上最大的度 = ki(ki-1)/2 ,也就是C(ki, 2),邻居的度就是所有邻居之间的边数。

全局聚类系数
与聚类系数不同,全局聚类系数 ≠ 平均聚类系数。
全局聚类系数更偏向整体结构,计算方案是:
C=网络中闭合三元组个数/网络中所有连通三元组个数=3*三角形个数/连通三元组个数,
连通三元组个数=ΣC(第i个节点度数, 2),比如下面的图,三角形有两个,所以分子是6,
然后度数小于等于1的节点对三元组贡献是0,度数=2的贡献为1,度数=3的贡献为3,
度数为4的贡献为6,所以一共有16个三元组,所以是3/8。
平均聚类系数=Σ局部聚类系数/节点总数


1) 计算每一节点的聚类系数,和平均聚类系数。

Avg=0.629。
2)P(0) = 0, P(1) = 1/8, P(2) = 3/8, P(3) = 2/8, P(4) = 1/8, P(5) = 1/8。
3)全图一共有C(8, 2) = 28对点,长度总共51,所以AvgPathLength = 28/51。
4)全图最大最短路径是3,所以直径 = 3。
第三节课
考点:随机网络的概念是什么?它是怎么定义的?ER模型怎么生成(过程是怎么样的)?G(N,p)是重点。
随机网络 ER模型
定义: 随机图是一个有N个节点,每对节点以p概率相连的图。
平均度<k>= p*(N-1)

上图左边的图是随即图进行一次采样的结果,是随机生成的一种结果。
定义:有 N 个节点,任意一对节点以概率 p 相连。
这句话对应的就是 G(N,p)模型,也是现在最常用、最直观的定义。
G(N,L)模型与上面的不同,这个的意思是,有N个带编号的节点,随机放L条边,所有恰好有L条边的图等概率,平均度=2L/N。
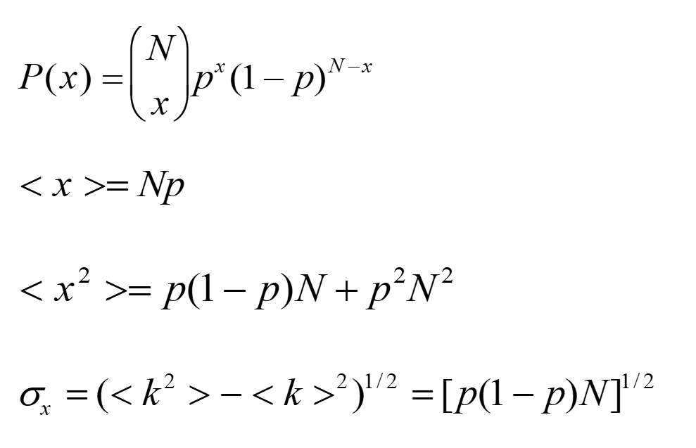
随机网络与二项分布
在G(N, p)模型中,边数L的概率分布服从二项分布。
P(L):G(N,p)下的图,边数为L的概率

C(N, 2)意味着最大的边数(也就是全部连接起来)。
C(C(N, 2), L)意味着从所有的边里面选L条边存在,后面就是标准的二项分布了,p意味着边存在的概率,上面是边数,后面就是不存在的边数。
均值=Np,方差Np(1-p)。

网络演化
即随机网络中的相变现象。<k>比较小的时候,是一个碎片化的网络,随着连接概率增大,会出现一个相变,在<k>=1附近。

这张图展示的是:
当随机网络的平均度 ⟨k⟩ 增大时,
网络从“大量孤立小簇”突然跃迁为“一个巨型连通分量(Giant Component)”的过程。

随机网络的度分布

相当于是,固定一个节点,从其他N-1个节点里面选k个节点与这个节点相连(意味着度为k)。

对于大N小k,引入泊松分布来进行近似。


第四节课
重点:无标度网络的相关基本概念(比如Hub现象)。后面要知道几个生成模型(Generating networks with a pre-defined pk)。
无标度网络

大部分的节点度都很小,小部分度非常大(这类节点称为Hub),不管把网络放大还是缩小,这种分布形态都不会变(尺度不变性)。
和随机网络对比,无标度网络符合幂律分布,随机网络属于是泊松分布。

配置模型
重点:如何把自环,重边除去(课上讲过)。
Configuration model 是:在“给定度序列”的前提下,随机连接边,生成“最大随机性”的网络模型。
自环和重边:当N区域无穷的时候且度不太极端的情况下,自环和重边的概率区域0.



自环和多边

如何去除?
老师课上讲的方法:
如果有自环节点 u(显然它的度为2),我们需要找一对节点a,b,他们互相连接,度都为1,这时,我们去掉u的自环边,去掉a,b相连的边,重新连接,变成a--u--b,这时,a,u,b他们的度都不变,而且自环得以除去。
如果有多边节点a==b,我们同样还是找一对互相连接的节点c和d(c--d),去掉a和b重边的一条,去掉c和d的边,重新连接形成c--a--b--d即可。
第五节课
重点:描述一下BA网络的生成过程。
BA网络的生成
两步骤:Growth(成长) + Preferential Attachment(优先连接)
Growth(成长) + Preferential Attachment(优先连接)


BA 模型由两个基本机制构成:网络的生长(growth)和优先连接(preferential attachment)。在每个时间步,一个新节点加入网络,并以与节点度成正比的概率连接到已有节点。
链路选择模型
Link Selection Model

Link selection model 中,新节点不是直接选择节点,而是随机选择一条已有的边,并连接到该边的一个端点。由于度为 k 的节点连接着 k 条边,该机制自然导致连接概率与节点度成正比,从而产生线性优先连接。
Copying Model (描述)

第六节课
BA模型与BB模型
BA模型不是错的,而是不够丰富,比如BA模型中,γ=3,但是现实世界里面γ是一个范围。BA网络中,平均聚类系数C(N)~1/N,而现实世界中,平均聚类系数不随网络变大而消失。BA模型中只做了两个基本假设,也就是线性增长(导致平均度是常数,不和N有关)和线性优先连接(导致幂律)。
BB模型在BA模型上,在优先连接中引入了“节点适应度”,让节点竞争连接资源。


Fitness Model



总结:Fitness Model是对BA Model的扩展,引出 Fitness Model:通过给节点引入“内在适应度”,解释为什么现实网络中,后来但更优秀的节点也能成为超级 Hub。(注意FitnessModel === BBModel)
第七次课(A)
“一个节点更倾向于和‘度数相似’的节点相连,还是相反?”
这是从“有没有 Hub(度分布)”进一步走向
👉 “Hub 彼此怎么连” 的问题。
三种形式的网络
1️⃣ Assortative(同配网络 / 正相关)
定义:
高度节点倾向于和高度节点相连
低度节点倾向于和低度节点相连
图中现象:
红色 Hub 之间大量互连
形成“核心圈子”
常见于:
社交网络
合作网络
学术合著网络
📌 直觉:
“大佬只和大佬玩”
2️⃣ Neutral(无相关 / 随机)
定义:
节点连接不依赖度
符合随机期望
图中现象:
Hub 之间既不特别连
也不刻意回避
典型模型:
E-R 随机图
标准 BA 模型(近似)
3️⃣ Disassortative(异配网络 / 负相关)
定义:
高度节点倾向于和低度节点相连
Hub 之间反而避免相连
图中现象:
Hub 像“中心服务器”
周围连着大量小节点
Hub–Hub 边很少
常见于:
互联网(AS 级)
生物网络
技术网络
📌 直觉:
“中心节点负责服务边缘节点”
如何刻画网络的同配型

神秘的图(ejk矩阵)



平均最近邻度
平均最近邻度(Average nearest-neighbor degree)


怎么看同配还是异配
看图,大概是常数就是中性,正相关同,负相关异

度相关系数


如果是中性网络,r近似等于0而不是精确等于0.
改变同配性
“我们可以通过置换的方法改变网络的同配性,有些网络能改变,有些改变不了”
第七次课(B)
加权网络是什么,怎么定义。
网络中的边不仅表示“是否相连”,还携带一个数值权重,用来表示连接的强弱、容量、频率或重要性。

肥尾分布(fat-tailed)



注:加权网络的(度)相关系数不考。
第八次课(重点)
社团(社区)检测
社团的概念
社团是指网络中一组节点,其内部连接显著强于外部连接,从而在结构或动力学意义上形成相对独立的子结构。
两假设:
i) 一个社团对应一个连通子图。
ii) 社团对应网络中的局部高密度区域。
社团不是“连在一起的一堆节点”,而是“连得特别紧的一堆节点”。
社团检测的方法
Kernighan–Lin(KL)算法。


层次聚类思想
如果我们能定义“两个节点有多相似”,能不能只靠相似性,把网络一步步聚成社团?
层次聚类的两大策略:Agglomerative(凝聚型,自底向上),Divisive(分裂型,自顶向下)
对于相似度:

两大策略:


至少要会其中一种方法!
社团检测的应用



模块度
评价社团划分的好坏
模块度(Modularity,记作 Q)是衡量一个网络划分成“社团”有多好的经典指标,也是社团检测中最核心、最常考的概念之一。

随机网络没有社团结构
重叠社团(Overlapping)
要知道概念。

第九次课
网络鲁棒性

怎么评价网络的鲁棒性




第十次课
传染病模型
例子 非典型肺炎例子、COVID-19例子。
传染病模型有哪些


其他类型题目
自由发挥题目:作报告相关的问题,给你一个类似的场景描述一下存在某些网络现象?网络中存在什么问题?
回答四段式:




考后感
大部分题目与上述的重点完全一致
算Kannd,算整个图的最短路径(考试卷子给了一个12个节点17个边的图,让我们写每对节点的最短路径,并且计算平均最短路径和最短路径的分布)。。。
然后就是要对比BA网络、CopyingModel/Link SelectionModel、和配置模型在实际生活中的用途,他们的区别。
重点其实就是和课程名字一样,复杂网络的“基础”和“应用”,重点在应用上,你要会表述,会写小作文。
还有个比较难的知识点我没复习到的,就是对于无标度网络的鲁棒性的计算,N'/N具体怎么算,对于网络的随机攻击或者是对网络进行针对性攻击下的区别。